计算啦
首页
全部分类
首页
>
电机
>
饼状物体惯量计算
圆柱体惯量计算
圆柱体惯量计算
方形物体惯量计算
饼状物体惯量计算
直线运动物体惯量计算
直接惯量计算
Date:2025-05-20
HTML
保存结果
注册/登录
机械结构参数:
*
直径d
mm
*
厚度h
mm
*
重心线与旋转轴线距离e
mm
*
密度
请选择
铁
铝
黄铜
尼龙
kg/m
3
计算
重置
例子
Copy
结果
计算项目
结果
单位
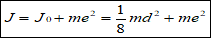
公式
物体质量m
0.147
kg
物体惯量
0.487
kg.cm
2
此工具的结果仅供参考!
上一篇:
方形物体惯量计算
下一篇:
直线运动物体惯量计算
你的足迹:
相关工具
气缸选型计算公式
矩形抗扭
深、短梁抗弯
T形单筋抗弯
矩形抗弯抗剪
钢管混凝土柱计算
齿轮参数计算
外齿轮插齿、剃齿验算
圆柱齿轮测量尺寸计算
地下室外墙计算书
评论